Калькулятор онлайн

Как найти определитель (детерминант) матрицы второго порядка

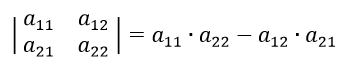
Матрица второго порядка - это матрица 2х2. Что бы найти ее определитель, нужно умножить элементы главной диагонали и отнять умноженные элементы побочной диагонали.
Определитель матрицы второго порядка

Пример

Найдем определитель матрицы второго порядка.
Определитель матрицы второго порядка


Если вы нашли ошибку или идею для сайта пишите!
captcha